技术文章
Technical articles哈尔滨商业大学研究人员在国际食品期刊《European Food Research and Technology》(IF:3.3)发表了题为"Effects of high‑pressure thawing on the quality and myofibrillar protein denaturation of Atlantic salmon"的研究论文。在该论文中,研究人员利用上海腾拔Universal TA质构仪用于测定大西洋鲑鱼的硬度、弹性、内聚性和咀嚼性指标。
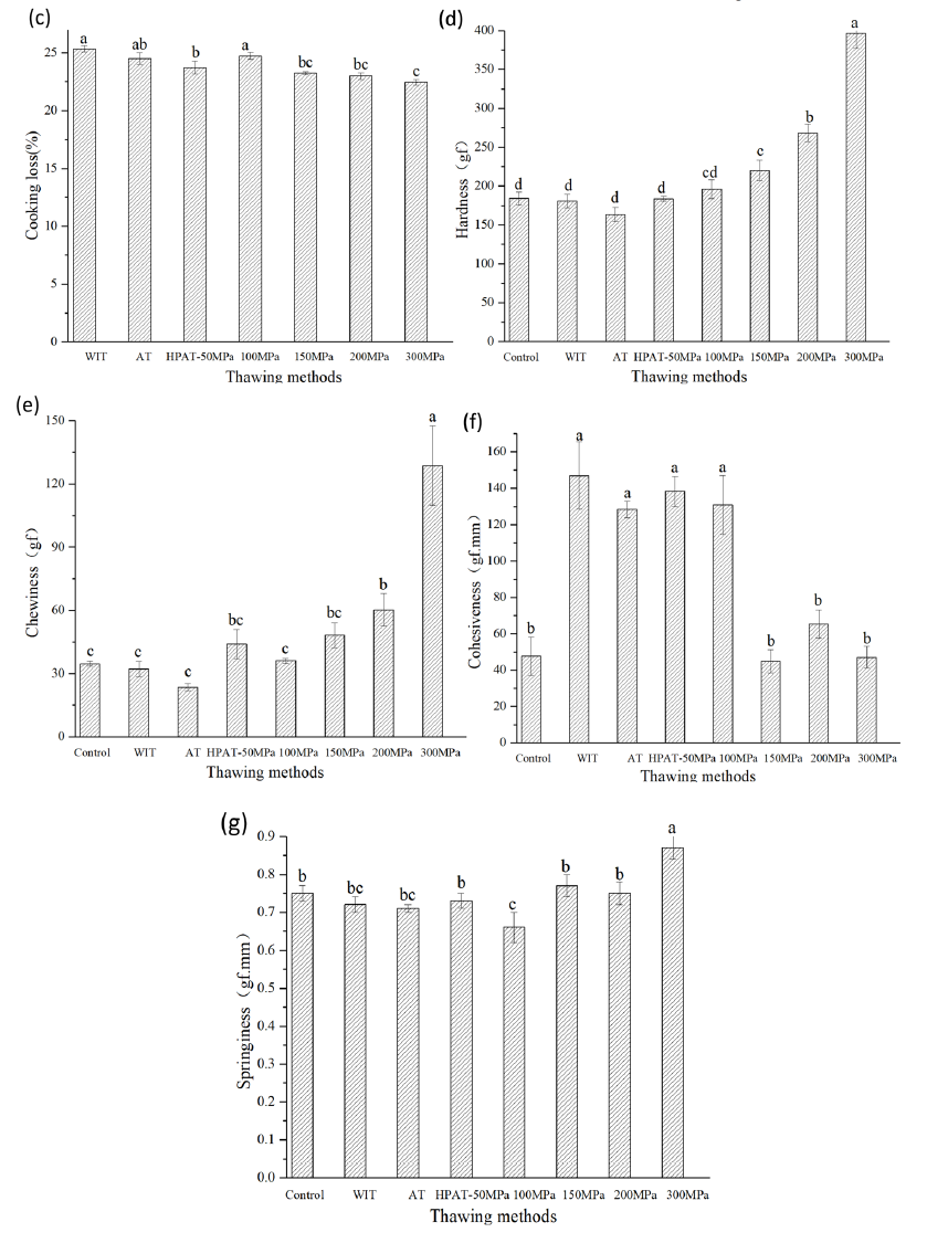
采用不合适的解冻方法可能影响食品的品质。解冻期间肌原纤维蛋白的变性直接影响食品理化性质的改变。该研究探究了高压解冻(HPT)、水浸渍解冻(WIT)和空气解冻(AT)对鲑鱼品质和肌原纤维蛋白(MP)变性的影响。WIT、AT和HPT-300 MPa的解冻时间分别是23.6、116.6和10.1分钟,HPT能够加速解冻速率。相比传统的解冻方法,HPT-100 MPa的颜色变化和HPT-150 MPa的水分流失分别下降56.77%和6.77%,质地退化被削弱,保留了解冻鲑鱼的品质。在目前研究中,200和300 MPa分别是鲑鱼肌球蛋白和肌动蛋白降解的压力阈。而且,HPT能够引起鲑鱼MPs稳定性、二级结构和微观形态的显著改变,这影响解冻鲑鱼样品的各种物理和化学性质例如水分流失、颜色和质构。特别是,在HPT-100 MPa和HPT-150 MPa下MP的空间结构稳定性能够更好维持。相比鲑鱼的传统解冻,HPT是一种可供选择的策略。
质构作为一种有价值的品质指标,影响鱼的感官和功能特性。在该研究中,硬度、咀嚼性、内聚性和弹性被用于评估质构特性。除了HPT-50 MPa样品,所有HPT样品的硬度都高于传统解冻样品,且硬度随着压力增加而增加。相比HPT组,由于肌肉软化和断裂,传统解冻组的鲑鱼样品更松散。肌动蛋白和肌浆蛋白的展开和新氢键网络的形成可能有助于高压处理鱼硬度的增加和强化其肌原纤维结构。另外,一些蛋白水解酶可能被激活,导致低压下蛋白质发生降解。这些可能是高压处理导致鲑鱼硬度增加的原因。在传统解冻组,尽管解冻后咀嚼性下降不显著,但低于对照组,这是因为解冻过程中汁液的流失,导致可用于维持肌纤维的水更少。当压力水平低于100 MPa,内聚性与传统解冻组没有显著差异,当压力水平增加到150 MPa,内聚性发生显著下降。而且,弹性的下降是导致冷冻鱼变质的原因之一,弹性的增加有助于维持鱼肉的新鲜度。加压鱼肌肉弹性的增加可能归因于加压后氢键网络的形成以及蛋白质-脂质和蛋白质-蛋白质相互作用。
原文下载链接